
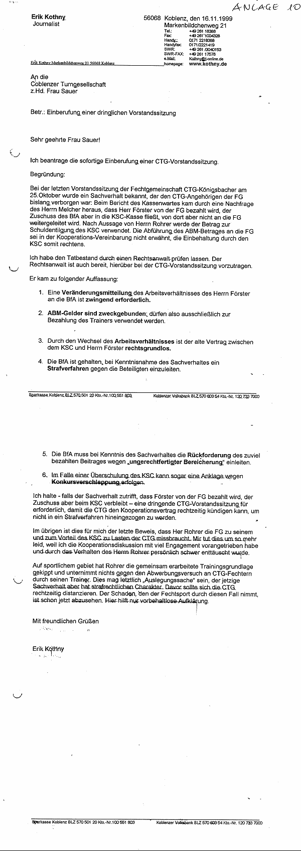
In der Vorstandsitzung am 25.10. kam durch eine beiläufige Nachfrage von Hans Melcher heraus, dass ABM-Mittel für den FG-Trainer Förster nicht in die FG-Kasse, sondern an den KSC wie mit Frau Sauer besprochen (Rohrer) zur Schuldentilgung flossen. Ich konsultierte einen Rechtsanwalt, beantragte bei Monika Sauer eine CTG-Vorstandssitzung (Antrag Kothny), weil dieser ABM-Transfer in Höhe von ca. 20.000,00 DM weder Gegenstand des Kooperationsvertrages, noch der Finanzordnung war. Im Gegenteil, es war vereinbart, dass Zuschüsse und Subventionen für die Vereine in die gemeinsame FG-Kasse zu transferieren waren gemäss Geschäfts- und Finanzordnung.
Anstatt einer CTG-Vorstandsitzung gab es mit Frau Sauer ein persönliches Gespräch, in der sie erklärte, das mit dem ABM-Transfer habe schon seine Richtigkeit, würde jetzt aber auch formal in Ordnung gebracht. Und nun der Hammer: Der KSC überwies die ABM-Gelder an die FG, gleichzeitig wurde der selbe Betrag unter einer anderen Bezeichnung ohne Vorstandsbeschluß, allein aufgrund eines Gespräches Sauer (damals nicht Mitglied der FG), Melcher und Rohrer an den KSC zurücküberwiesen. Herr Rohrer bestätigte in einer Stellungnahme vom 31.04.1999 gegenüber Kothny im wesentlichen diesen Sachverhalt und begründete die Rücküberweisung mit dem Argument, dass Kothny in der Vorstandssitzung vom 15.12.1999 zwar seinen Unmut über diese Regelung zum Ausdruck brachte, aber keine Einwände gegen diese Massnahme vorgebracht haben soll. Damit sei für die restlichen Mitglieder des geschäftsführenden Vorstands diese Regelung beschlossen. (Brief vom 31.04.2000 ist ebenfalls nicht zur Veröffentlichung freigegeben.) Meine Mahnungen, die Sache rückgängig zu machen, monierte Melcher gemäss einem Geheimprotokoll vom 20.02.2000.

Da sich nach all den internen Gesprächen aber keine wesentliche Änderung ergab, machte Kothny in einem Schreiben an den Landesportbund auf die Gefahr des Scheiterns der Kooperation aufmerksam. Nach einem Gespräch mit den Beteiligten stellte der Landessportbund in einem Vermerk, der hier ebenfalls nicht veröffentlicht werden darf, fest, dass von Seiten des KSC bestimmte Absprachen, im Max von Laue zu trainieren, nicht eingehalten wurden und dass durch I. Bujdoso über das Coaching hinaus bei D. Bauer Hinweise zur individuellen Technik gegeben wurden und er nicht mehr bereit war den kompromisslosen Weg vom Trainer (Mehl) mitzugehen.
Der LSB legte gemeinsame Trainingszeiten fest, organisierte den Transport der Leistungssportler. Er- gebnis: Eberhard Mehl wurde von KSC-Nachwuchsfechtern förmlich überflutet. Es trainierten weibliche A-Jugendliche und Freizeitfechter zusammen mit Olympiaanwärtern, Europameistern, Weltmeistern und Deutschen Meistern; KSC-Leistungsfechter weigerten sich das Konditionstraining mitzumachen. Ein geordneter Trainingsbetrieb war nicht mehr möglich, wurde zudem ins Lächerliche gezogen (Beim Krafttraining testete N.N. den Muskelzuwachs bei den Mädchen, bei den Jungs deutete N.N. mit Hanteln das Quetschen von Hoden an - das Krafttraining wurde zum bunten Nachmittag.) Mehl verzichtete daraufhin auf eine weitere Mitarbeit von N.N. In der Folge kam nur noch ab und an ein Leistungsträger des KSC. Das gemeinsame Training der Leistungsfechter war somit gestorben.
|